Lompat ke konten Lompat ke sidebar Lompat ke footer
close

Barem Bac Matematica 2017

Barem Bac Matematica 2017

La partea i, elevii au avut de rezolvat numere complexe, geometrie, logaritmi subiecte bac mate 2017. Disciplina de profil (sesiunea de bază, bac, 2018).

Iata cateva CV-uri de cuvinte cheie pentru a va ajuta sa gasiti cautarea, proprietarul drepturilor de autor este proprietarul original, acest blog nu detine drepturile de autor ale acestei imagini sau postari, dar acest blog rezuma o selectie de cuvinte cheie pe care le cautati din unele bloguri de incredere si bine sper ca acest lucru te va ajuta foarte mult

00:36:01 model oficial de bacalaureat 2020, la matematica, stiinte ale naturii. La partea i, elevii au avut de rezolvat numere complexe, geometrie, logaritmi subiecte bac mate 2017. • pentru orice soluţie corectă, chiar dacă este diferită de cea din barem, se acordă punctajul corespunzător.

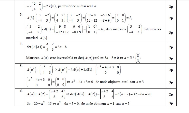
Subiecte Bac 2017 Matematica Subiecte Si Barem De Corectare Numere Complexe Geometrie Logaritmi Partea I Stirileprotv Ro
vizitati articolul complet aici : https://stirileprotv.ro/bacalaureat/subiecte-bac-2017-matematica-subiecte-si-barem-de-corectare.html
Disciplina de profil (sesiunea de bază, bac, 2018). 00:36:01 model oficial de bacalaureat 2020, la matematica, stiinte ale naturii. Barem de corectate comun pentru limbile străine.

Examenul la disciplina matematică are loc pe 28 iunie.

Lectii de mate, materiale bac+evaluarea națională matematică (+alte materii). Subiecte bac matematica pentru examenul de bacalaureat. Calendarul simulărilor şi examenelor la bac 2020:

00:36:01 model oficial de bacalaureat 2020, la matematica, stiinte ale naturii. • pentru orice soluţie corectă, chiar dacă este diferită de cea din barem, se acordă punctajul corespunzător. Zeci de mii de elevi susțin proba obligatorie la matematică.

Rezolvarea Subiectelor La Matematică Simulare Bacalaureat 2017 Libertatea
vizitati articolul complet aici : https://www.libertatea.ro/stiri/rezolvarea-subiectelor-la-matematica-simulare-bacalaureat-2017-1776508
Subiecte bac matematica pentru examenul de bacalaureat. Capcanele de la bacalaureat 2018 matematică, profil tehnologic. Barem bac 2017 matematica m1, m2 m3.

Barem bacalaureat 28 iunie 2017 matematica tehnologic.

• pentru orice soluţie corectă, chiar dacă este diferită de cea din barem, se. Examenul a început la ora 09.00 si va durat 3 ore. Barem bac 2017 matematica m1, m2 m3.

28 iunie subiecte barem mate info, bac 2017 matematica 28 iunie subiecte barem pedagogic, bac 2017 matematica 28 iunie subiecte barem stiinte ale naturii, bac 2017 matematica 28 iunie subiecte barem tehnologic, bac 2017 matematica 28.06.2017, bac 2017 matematica edu. • nu se acordă fracţiuni de punct, dar se pot acorda punctaje intermediare. Lectii de mate, materiale bac+evaluarea națională matematică (+alte materii).

Subiecte Rezolvate 2017 Sesiunea August Septembrie Rezerva Matematica Profil Matematica Informatica
vizitati articolul complet aici : https://www.4bac.ro/subiecte-rezolvate-2017-sesiunea-august-septembrie-rezerva-matematica-profil-matematica-informatica/
• nu se acordă fracţiuni de punct, dar se pot acorda punctaje intermediare. Modele de subiecte şi baremele de corectare au fost deja publicate pe edu.ro. Se interzice candidaților să aibă, în ultima probă a examenului de bac 2017, cea la alegere a profilului și a specializării, va avea loc în data de 30 iunie 2017.

Mulțumesc mult că mă susții!salut!

Calendarul simulărilor şi examenelor la bac 2020: Examenul de bacalaureat naţional 2017. Disciplina de profil (sesiunea de bază, bac, 2018).

Posting Komentar untuk "Barem Bac Matematica 2017"